Home
Products
Factory Profile
Contact us
Home
Products
Factory Profile
Contact us
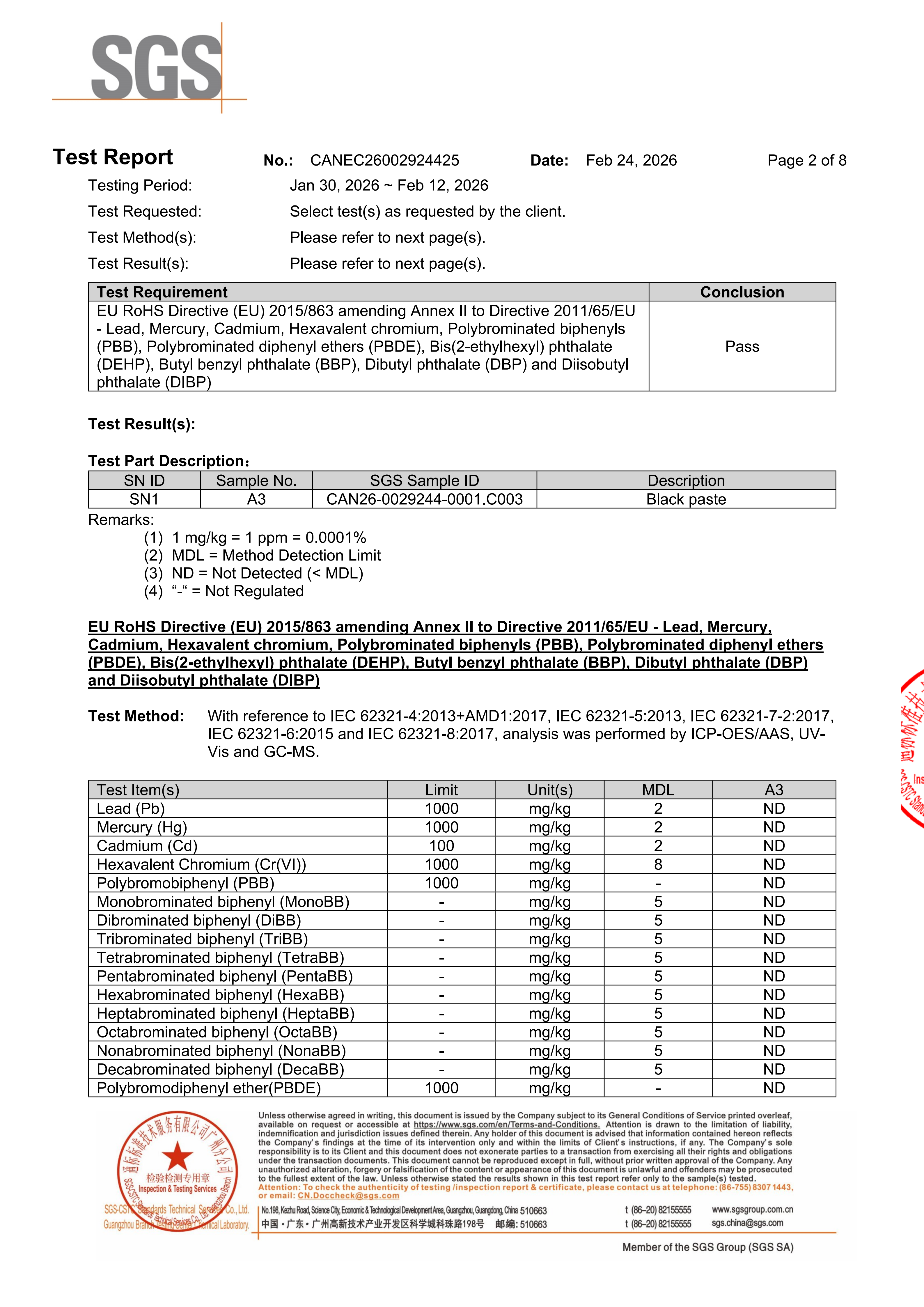
Printing Ink RoHS 2.0 Report
Cart
loading